Divine providence is about God’s direction of all history in accordance with his plans, without thereby frustrating human freedom or undermining nature. Long-time readers will know that I was once a Molinist, but I have not said much on the topic since changing my views. I would describe the view I now hold as the Thomistic view, but others views go by that description and I have little interest in an exegetical defense. For the sake of clarity, then, we will use the name “omni-instrumentality”, since this view is built around the notion that all of nature is a divine instrument.1 My aim in this series of posts is to outline omni-instrumentality in as accessible a way as I can manage, without requiring the reader have a significant familiarity with Thomistic metaphysics. Nevertheless, if you happen to be familiar with Thomistic metaphysics you should recognize many of the things we cover.
Divine concurrence is about God’s cooperation with the actions of creatures. Views on divine providence differ in the role they assign to divine concurrence, but at the heart of omni-instrumentality is an account of divine concurrence as essential cooperation with nature. Our approach to unpacking the view, then, will start with this and gradually work our way outwards. In this first post, we will give an analysis of cooperation, its modes and its characteristics. In the second post, we will expand this into an account of divine concurrence by introducing nature and the relevant conceptual tools to bridge our everyday experience of cooperation with God’s special cooperation with us. Thus, by the end of the second post we will have a robust understanding of essential cooperation with nature. In the third, we will flesh out the details surrounding divine concurrence, and thereby fill in the rest of the picture of divine providence. In the fourth and final post, we will compare omni-instrumentality to other views commonly held or discussed today.
Components of cooperation
Two things cooperate when they work together to bring about some final product. Here, we use the term “thing” very broadly, such that it could be a substance, aggregate, property, state of affairs, or process. Insofar as one thing brings about some other thing we call it a “cause”, and any distinct thing that is brought about by one or more causes we call a “product”. The final product is the thing caused by the cooperation as a whole. When we call a product “distinct” we mean that it is something beyond the causes and their influences, although not necessarily distinct from the cooperation as a whole. For instance, when the cooperation involves making a chair then the final product (the chair itself) is distinct from the cooperation (the making), but when the cooperation is a musical performance the final product is the same as the cooperation. Finally, insofar as something depends in a particular way on a cause we speak of a cause “causing”, or “influencing”, or “contributing to the cooperation”.
We could depict all of this as a directed graph made up of nodes and edges: things are nodes, causes are nodes with edges coming out of them, products are nodes with edges coming into them, and causal influences are the edges themselves. The final product would be the product that has no edges coming out of it at all, that is the product that is not also a cause.

None of this so far is meant to be controversial. We’ve simply given names to the various moving parts involved in any cooperation so that our discussion can proceed with slightly more precision. Our primary goal in this post is to discuss, at the broadest level, the different ways two things can cooperate with one another.
The most distinctive aspect of cooperation is that the causes work together, and so any analysis of cooperation should help us break this down into more basic components. One component of working together is combination. This occurs between two things when a product arises directly from the influence of both of them, which is to say that there are no intermediate products between the causes and their mutual product. Another component of working together is dependence. This occurs when one cause is enabled to exert its causal influence by virtue of another cause first exerting causal influence on it. In this case, the product of the independent cause will be something in the dependent cause.
Using these two components we can enumerate the different modes of cooperation that arise from how they can be logically composed: (1) combination without dependence, (2) dependence without combination, and (3) combination with dependence. If two things have neither combination nor dependence it is difficult to see that as cooperation in any sense, and so we will leave that option to one side.
Modes of cooperation
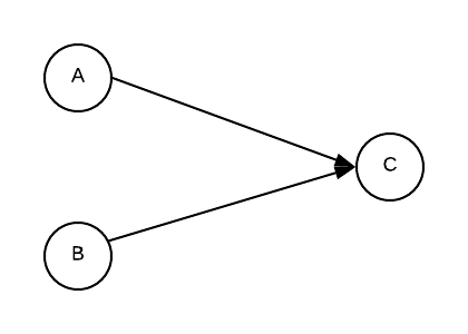
A straightforward example of combination without dependence would be that of two people pulling a car or lifting a box. Neither of the two people depends on the other in order to be able to pull, but when they pull together their combined force is enough to pull the car. We call this “coordinate cooperation”2, and it has the structure of two influences and one product.
Once we recognize this category and its structure, we can see that it applies to other cases that we might not have instinctively described as cooperation. For example, when two teams engage in tug-of-war this is also coordinate cooperation, since they do not depend on one another to exert their influence on the rope, but the resultant tension in the rope is a product of the combination of each of their influences. Of course, at another level this cooperation is a competition, which we’ll discuss more below. Other examples of coordinate cooperation include two sticks standing upright against one another, two sports teams playing a match against each other, and an orchestra performing a piece of music.

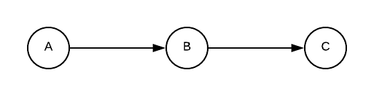
Next we turn to dependence without combination, an example of which is when a person throws a brick through a window. In this case the brick depends on the person to impart to it a certain velocity by which it can go through the window, but the breaking of the window is only directly caused by the brick. We can call this “accidental cooperation”3, and it has the structure of two influences and two products. In the person-and-brick example, the first influence is of the person on the brick, the first product is the brick’s velocity, the second influence is of the brick on the window, and the second (final) product is the window’s breaking.
Again, there are cases of accidental cooperation which fit the definition and go beyond our motivating example. For instance, a grandparent and a parent accidentally cooperate to beget a grandchild, since the parent depends on the grandparent for their existence (and therefore their ability to procreate) but the grandparent does not directly contribute to the begetting of the grandchild. Indeed, cases of accidental cooperation needn’t even involve temporally separate events. For example, imagine Alice holds Bob up because he is too short to grab an item off the shelf by himself. In this case Alice accidentally cooperates with Bob, because her activity enables him to do his activity (dependence) but they do not both directly grab the item off the shelf (without combination). Another example of simultaneous accidental cooperation is when the sun shines on the moon, which in turn reflects this onto the earth. This case is noteworthy, because though the moon is radically dependent upon the sun, this dependence does not occur in such a way that the rays of the sun must combine with the reflected rays of the moon in order for the moon to illuminate the earth.4

The last mode of cooperation, combination with dependence, is by far the trickiest to grasp. An example of this is when Alice uses a stick to push a stone by means of directed motion. Similarly, it occurs between Bob and a piece of chalk as he uses it to write on a blackboard. We can call this “essential cooperation”, and its trickiness becomes clear when we attempt to describe its structure. The key thing to realize is that in essential cooperation the combination and the dependence are not two distinct acts, but rather two aspects of one and the same act. Thus, we could equally describe it as “dependent combination” or “combinatory dependence”. If this weren’t the case, then instead of essential cooperation we would really only have coordinate cooperation (combination without dependence) coinciding with accidental cooperation (dependence without combination).
To underscore this irreducibility, we can consider variations of the Alice-and-stick scenario which do not amount to essential cooperation. If Alice merely threw the stick at the stone, then we would have accidental cooperation rather than essential cooperation. If she merely pushed the stone with her hand at the same time as the stick hit the stone, then we would have coordinate cooperation rather essential cooperation. Even if she threw the stick and managed to then push the stone with her hand at the same time, we still would not have essential cooperation, but rather a coincidence of accidental and coordinate cooperations. Furthermore, if Alice were to let go of the stick after using it to move the stone, it might continue moving without her, in virtue of the velocity it had when she let go, but the essential cooperation between Alice and the stick ceases upon her letting go. This manifests itself in the fact that the motion the stick is no longer directed in the way it was before. Once she’s let go, the cooperation between the two is only accidental.
When Alice essentially cooperates with the stick, she not only moves the stick (dependence) but also moves the stick to move the stone by means of directing it (combination). It’s because the stick is not capable of directed motion in itself that Alice needs to keep acting through it to move the stone. And with this we see the structure of essential cooperation emerging: Alice not only influences the stick (by moving it), but also influences the stick’s influencing the stone (by moving the stone with the stick). Thus, in total we have three influences and two products, because Alice influencing the stick’s influence does not produce some distinct thing.

We can summarize everything we’ve said here with the following table:
| Mode | Components | Structure |
|---|---|---|
| Coordinate | dependence without combination | 2 influences, 1 product |
| Accidental | combination without dependence | 2 influences, 2 products |
| Essential | combination with dependence | 3 influences, 2 products |
Having outlined these three modes of cooperation, the rest of this post will discuss what we might call the “characteristics” of cooperation. These apply in some sense to every mode of cooperation, even if the specific details differ in each case.
Through-causing and instrumentation
When one cause acts through another we call it “through-causing”. In any case of through-causing there are three components to consider: the cause, the passage, and the effect. In terms of the vocabulary we introduced above, these would correspond to the first cause, the second cause, and the final product respectively. Using these components we can unpack the differences in how through-causing applies to each of the modes of cooperation as outlined above.
Of the three modes, essential cooperation involves through-causing in the truest sense, since the first cause acts through the second by causing it to cause the final product. In this case the second cause acts only insofar as the first cause acts through it, which is to say that the second cause propagates the causal influence that originates with the first. When Alice pushes the stone with the stick, the stick propagates Alice’s causal influence to the stone.
The Alice-and-stick example also shows us something that we might be tempted to forget: propagation doesn’t mean that the second cause does nothing, as if things would be the same without it. The stick modifies Alice’s causal influence according to its nature, and thereby enables her to push a stone that otherwise might be out of reach due to distance or obstacles. We’ll return to this point in the next section. For now, the upshot is that the origination-propagation language gives us another perspective on how dependence and combination work together in essential cooperation: there is dependence because the second cause does not originate the causal influence, and there is combination because the second cause propagates this influence rather than the first cause bringing about the product by itself. If the second cause weren’t making some kind of contribution, then the final product wouldn’t occur in the same way or even at all.
The two other modes of cooperation can make sense of through-causing, but only by considering it in a looser sense. In a case of accidental cooperation the order of first and second cause is given by the dependence of the second cause on the first, but because the first cause doesn’t directly influence the final product it can only be said to “cause” it in a loose sense. In other words, accidental cooperation gives a natural sense of through-causing, but requires a looser sense of through-causing.5
In a case of coordinate cooperation both causes directly influence the final product, but there is no dependence to give an objective ordering between them. So, any ordering between the causes must be supplied by us, in terms of how we consider them. For instance, if Alice and Bob are pulling a rope from either end, then we could take either to be the first cause, the other to be the second cause, and the final product to be the tension in the rope. Alice acts “through” Bob not because Bob propagates Alice’s influence or because Bob depends on Alice for his acting, but simply because Bob modifies the result of Alice’s contribution in some way. Thus, we might say that coordinate cooperation gives us a natural sense of through-causing, but requires a looser sense of through-causing.
The notion of through-causing is closely linked to the notion of instrumentation. An agent works through an instrument by applying it to an end. In the strictest sense, an instrument is something that has the capacity for producing its effect within itself, but which is incapable of realizing this capacity by itself. Thus, the instrument produces the effect only so long as the agent applies it to this end. To give an example, the stick is capable of moving in any number of directions (capacity), but cannot direct itself to move the stone (incapable of realization), and therefore requires Alice to continually apply it to this end. Connecting this with what we’ve been saying, an instrument in the strictest sense is what an agent causes through in the truest sense. And just as accidental and coordinate cooperation involve looser sense of through-causing, so too do they involve looser senses of instrumentation. Thus, we can say, in a looser sense, that the sun uses the moon as an instrument to illuminate the earth, and the Alice uses Bob as an instrument to produce tension in the rope.
Because essential cooperation captures the truest senses of these notions, unless otherwise specified we will use them exclusively for cases of this mode of cooperation.
Impositions
We’ve touched on the notion of causes “modifying” each other’s influence, and it’s worth spending some time making this more precise. Whenever one cause modifies another’s influence in some way, we’ll say that it “imposes upon” that cause. Accordingly, we will refer to this characteristic of cooperation as “imposition”. There are two components that determine the kind of imposition in view: (1) how it imposes, and (2) what it results in.
Regarding the how, an imposition can be active or passive. Alice actively imposes upon Bob when she pulls the rope in the opposite direction to him in a game of tug-of-war, but the stick passively imposes upon Alice when it enables her to act through it in accordance with its structure and strength. Active impositions arise from how one thing’s casual influence impacts another’s, while passive impositions arise from how one thing receives the causal influence of another. Of the two, active impositions are the ones we more intuitively grasp, so much so that we might be tempted to think that passive impositions are not really impositions at all. But this would be a mistake, as the Alice-and-stick example should make clear. Among other things, the stick could modify Alice’s causal influence by extending it by its length or limiting its force by its fragility.
This brings us to the results of impositions, which involve either helping or hindering. An imposition helps when it supports or amplifies, and it hinders when it frustrates or limits. In the tug-of-war Bob and Alice mutually hinder one another, but when they pick up a box together they help one another. Both of these examples are of active impositions, but passive impositions can also be hindering and helpful. Returning to the Alice-and-stick example, if the stick is fragile or bent then it might hinder the causal influence it receives from Alice, while its weight and shape might help her use it for the purpose of pushing the stone. Similarly, it’s because a brick is a certain size and weight that it can be used to break a window by throwing it, unlike a bunch of feathers or a piece of cloth.
So an imposition can be active or passive, and it can hinder or help. This gives us four options for the nature of a particular imposition, to which we give names in the following table:
| Hindering | Helping | |
|---|---|---|
| Active | violence | elevation |
| Passive | limitation | facilitation |
We hasten to add that the sense of these names is very broad. In our everyday language we restrict “violence” to situations in which someone actively hinders the safety of another. Our technical sense here includes this, but is not exhausted by it. If I’ve asked you not to play a certain kind of music and you persist in playing it, then you’re imposing violence against my will without necessarily hindering my safety. But it gets broader even than this: if one rock knocks another off-course then this is also violence, since it hinders its movement along its original trajectory. The same point of generality applies to limitation, elevation, and facilitation.
Active impositions can be bi-directional, in the sense that two things can actively impose upon each other in the same act of cooperation. In the tug-of-war, for example, both sides of the war impose violence upon by the other. And when two people pick up a box together they impose elevation upon each other. This is possible, because the nature of active impositions allows for there to be a form of symmetry between the two causes. By contrast, passive impositions are by nature asymmetric, and so there is no comparable bi-directionality.
Levels of cooperation
Sometimes a cooperation occurs by means of a lower-level cooperation. Return once more to the Alice-and-stick example. We’ve said that Alice essentially cooperates with the stick, and this is correct, but this essential cooperation is made possible by various lower-level cooperations governed by the laws of physics. For instance, it is because the stick has a certain structural integrity that it doesn’t simply buckle when pushed by Alice into the stone. So, one of these lower-level cooperations is the coordinate cooperation between Alice and the stick which produces the internal stress within the stick. If such cooperation did not occur, then Alice wouldn’t be able to push anything with the stick, since it would simply crumble or her hand would move through it.
This is actually the second time we’ve seen multiple cooperations coincide with one another. Earlier we saw it when we were introducing essential cooperation, and noting that it is not equivalent to the coincidence of accidental and coordinate cooperations. In that case the two cooperations occurred at the same level, but here they occur at different levels.
Given that cooperations can coincide in various ways, it is necessary that we be able to distinguish between them somehow. Sometimes we can distinguish them by reference to their final products, but this is not always enough: in our earlier example, of Alice throwing the stick and pushing the stone at the same time the stick hits it, the two cooperations have the same final product, namely the motion of the stone. In such cases, if we want to distinguish between the cooperations it is necessary to qualify how we consider each of the causes. When considering the accidental cooperation between Alice and the stick when she throws it, we are considering Alice-as-thrower cooperating with the stick-as-projectile. But when considering the coordinate cooperation between Alice and the stick when they move the stone, we are considering Alice-as-pusher cooperating with stick-as-pusher.
An important thing to notice is that when two cooperations coincide they needn’t involve the same impositions. At one level the tug-of-war game is cooperative and at another level it is competitive. At the lower level, both teams cooperate with each other in playing the game in accordance with the rules. At the higher level, they also cooperate with one another in the technical sense we’ve been discussing, but in this instance they mutually impose violence on the other in an attempt to claim victory. Healthy competition just is this sort of mutually violent cooperation at a higher level built upon a non-violent cooperation at a lower level.
For a particularly interesting example of this, imagine Alice pushing a stone using Bob’s hand against his will. Here we can distinguish at least two different cooperations, each at a different level. First there’s the higher-level essential cooperation between Alice-as-agent and Bob’s-arm-as-instrument, and second there’s the lower-level coordinate cooperation between Alice-as-wanting-to-push-Bob’s-arm and Bob-as-not-wanting-his-arm-pushed. If we ask whether Alice imposes violence upon Bob, then we will get a different answer depending on which of the cooperations we’re considering. In the essential cooperation, Alice’s action is what makes and sustains Bob’s-arm-as-instrument, and therefore cannot be said to be violent against it. In the coordinate cooperation, by contrast, Alice’s actions go against Bob’s will for his arm and are therefore violent against Bob. In fact, this is a general feature of essential cooperation: because the influence of the first cause is what establishes and sustains the influence of the second, the first can never impose violence or elevation upon the second at the level of the cooperation. But this imposition could still exist at a lower level, as this example shows.
Conclusion
With this we have covered the necessary groundwork of cooperation: the modes of cooperation, through-causing and instrumentation, impositions, and levels of cooperation. All of these will serve us in our account of divine concurrence and comparison of different views.
- Alternatively, we could call it the “Lonergan-McArthur model,” since it arises from the discussions by Bernard Lonergan in his book Grace and Freedom and Ronald McArthur in his paper “Universal in praedicando, universal in causando”. Both of these works are excellent, and if you are somewhat familiar with Thomistic metaphysics I highly recommend them.↩︎
- The names for these first two modes are given by Lonergan in his Grace and Freedom. We differ from his naming for the third mode: he calls it “serial cooperation” but I think “essential cooperation” is more appropriate given the Thomistic source of the discussion.↩︎
- For those unfamiliar with Scholastic jargon this may sound like a bit of strange name. After all, the person needn’t throw the brick by accident for there to be cooperation. But this is not the sense in which the word is used here. An accident, in this sense, is a feature not contained within the definition of something. In the current example, the person imparts the accident of a certain velocity to the brick, which enables it to go through the window.↩︎
- For Thomists, the lesson here is even more noteworthy. As Lonergan notes, the moon in this case is a moved mover that is not properly speaking an instrument (section 4.1 of his Gratia Operans, which is included in Volume One of his Collected Works). This has consequences for how we should conceive of essentially-ordered causal series, which are chains of essentially (not accidentally) cooperating causes.↩︎
- In English there’s an unfortunate ambiguity in the word “through,” which makes it applicable to essential or accidental cooperation: Alice causes the stone’s motion through the stick (essential), and she breaks the window through the momentum of the brick (accidental). We have attempted to get around this by emphasizing both the “through” and the “causing” components. Alternatively, there is a similar ambiguity in the word “with,” which makes it applicable to essential and coordinate cooperation: Alice moves the stone with the stick, and plays a tennis match with Bob. Another way to think about what we’re getting at with through-causing, then, is to consider that sense of “through” that would make it interchangeable with “with.”↩︎
Leave a comment